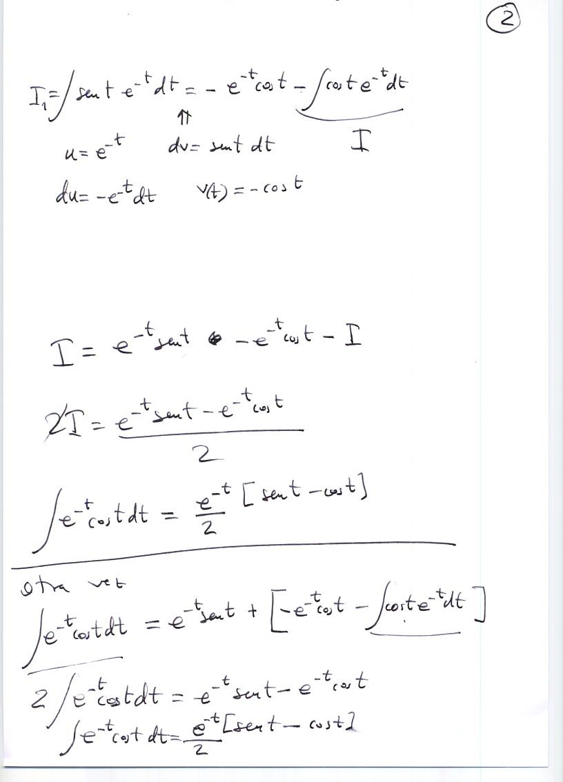
Solución del Ejercicio 4







Portada de la Sección Departamental

Página administrada por Juan-Miguel Gracia: