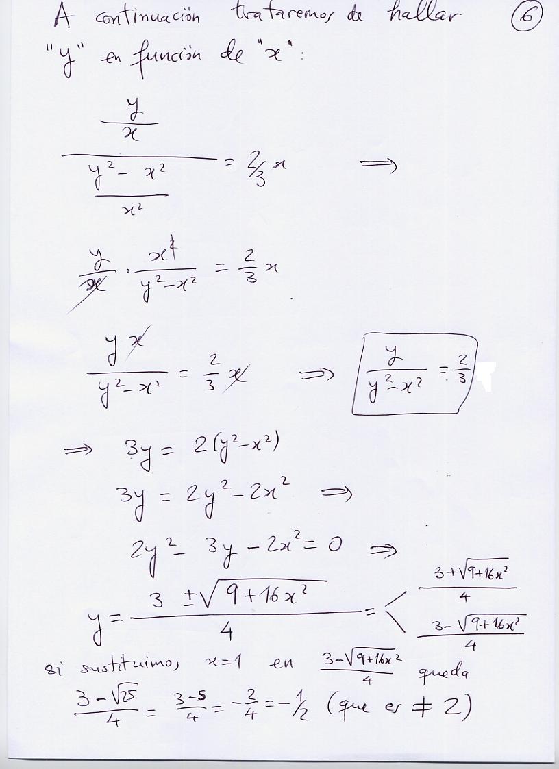
Solución del Ejercicio 5












Portada de la Sección Departamental

Página administrada por Juan-Miguel Gracia: