"Matemáticas". 1º de CCAA y 1º de CTA.

Examen orientativo del 19 de diciembre de 2013



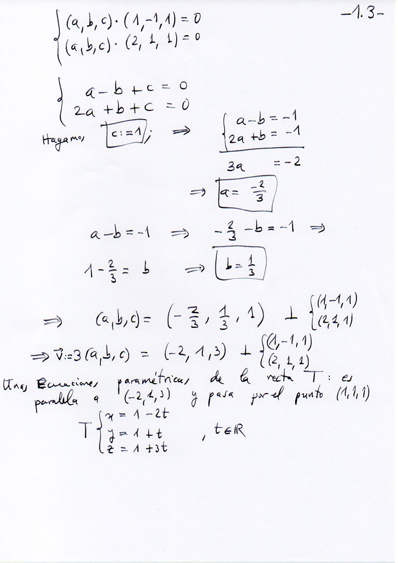
Solución del Ejercicio 1.










 

Portada de la Sección Departamental

 
 

Modificada el 28 de diciembre de 2013.

Páginas administradas por Juan-Miguel Gracia: