Matemáticas. Capítulo2 . Tema 5 (sigue).

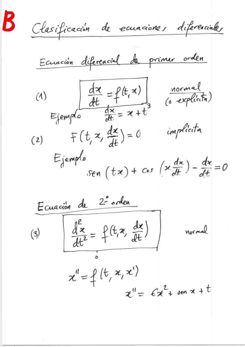
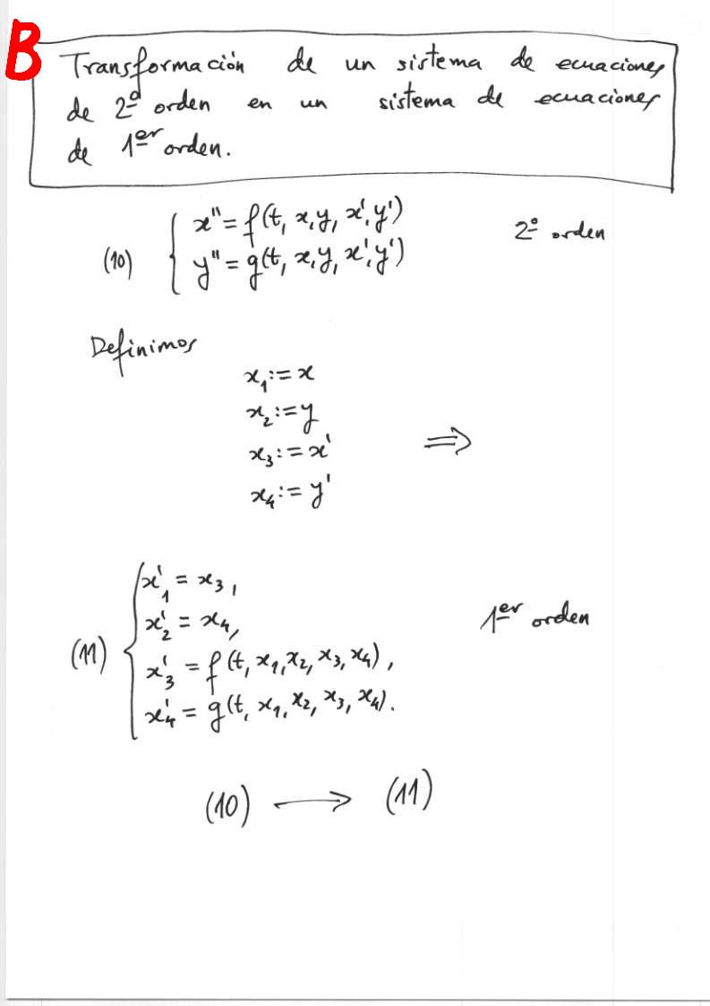
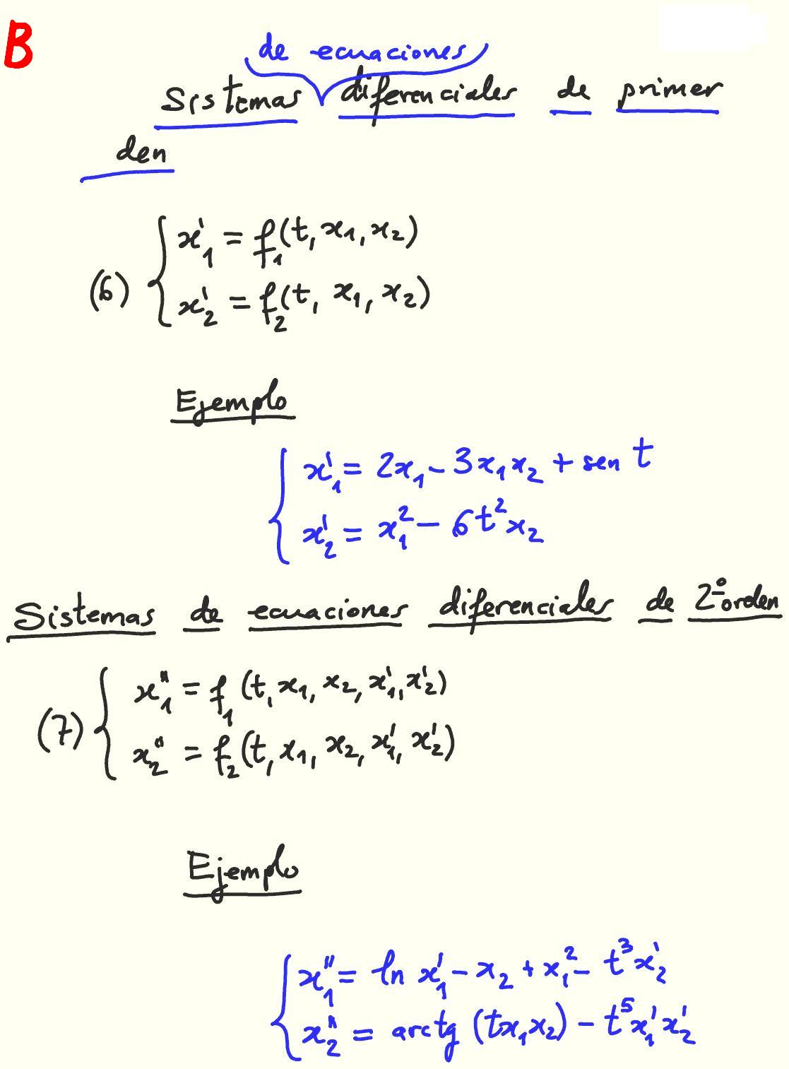
Clasificación de ecuaciones diferenciales.

1º de Ciencias (Ambientales, Alimentos).

Páginas 5-16 a 5-18.

Juan-Miguel Gracia

<=== Principio                                                                                                                      Siguientes ===>
5-16                                                                   5-17


5-18                                                                  


<=== Anteriores                                                                                                             Siguientes ===>

Portada de la Sección Departamental

Modificado el 25 de mayo de 2010.

Página administrada por Juan-Miguel Gracia: