"Ampliación de Matemáticas". Curso 2010-2011.

Lista de ejercicios para preparar el examen alternativo

Grupo 16 de 1º de Ciencias Ambientales.

Profesor: Juan-Miguel Gracia

Modificado el 10 de mayo de 2011.


Ejercicios 1 al 5

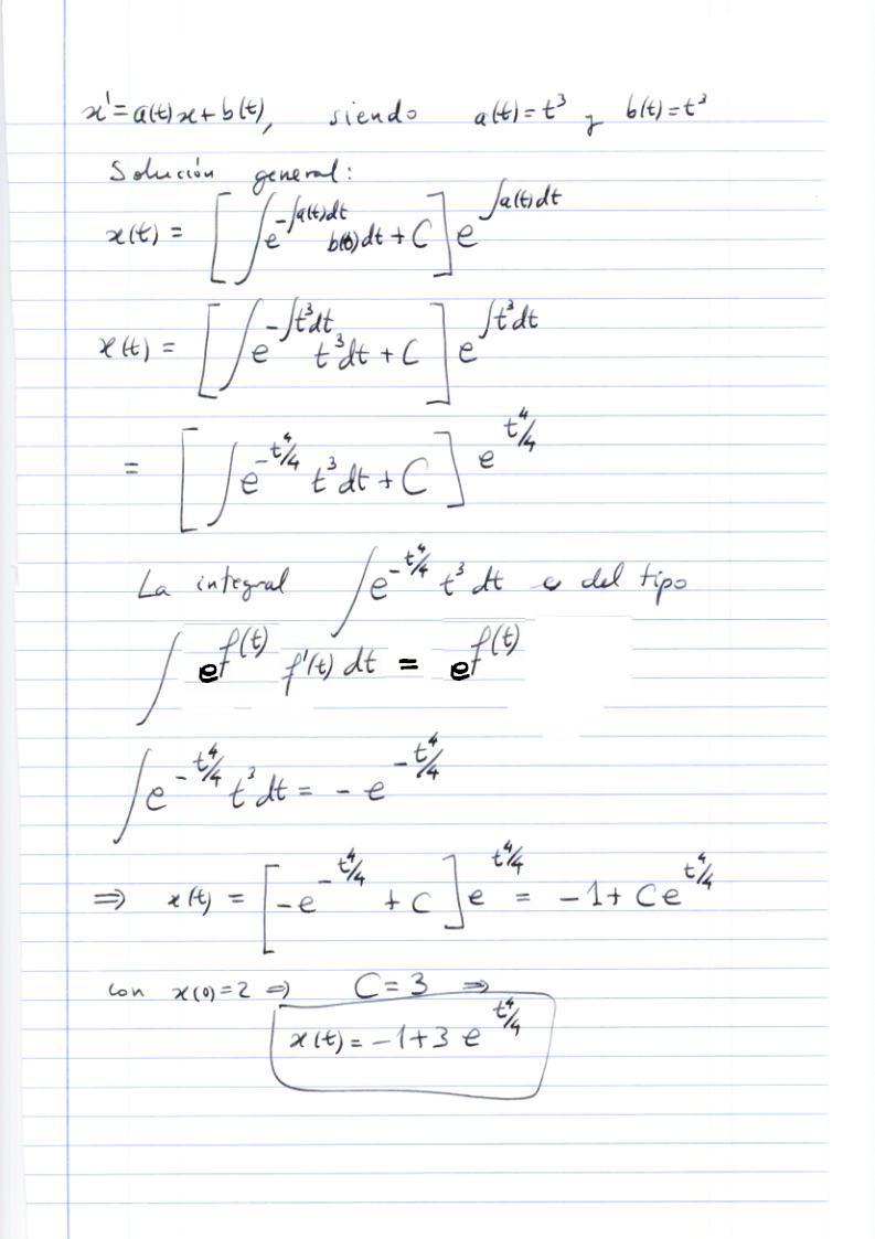
Solución del Ejercicio 4

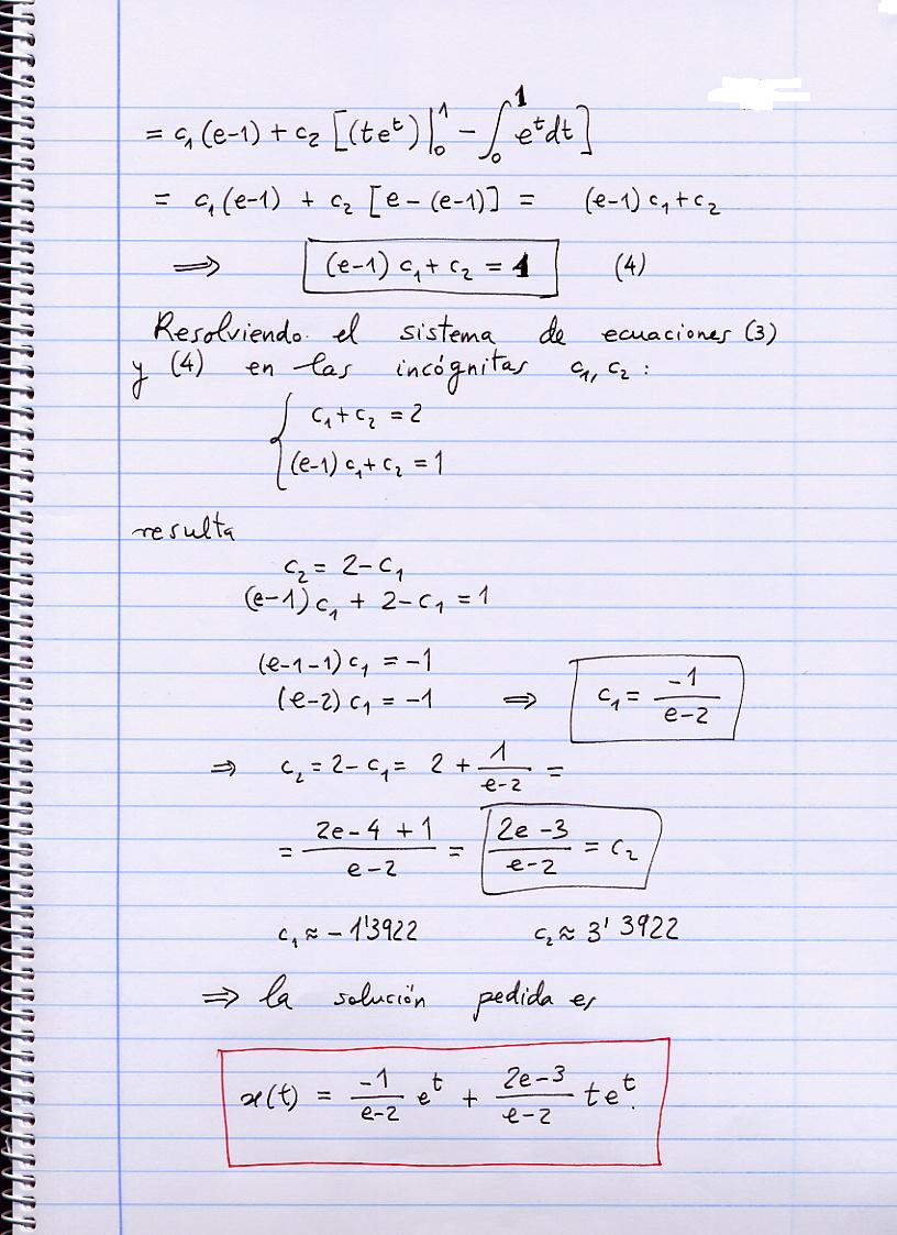
Solución del Ejercicio 5

Ejercicios 6 al 10

Ejercicio 6




Ejercicio 7




Ejercicio 8






Ejercicios 9 y 10

Por favor, mirad los Ejercicios 2 y 3 del examen de "Ampliación de Matemáticas" del 29 de junio de 2006: Enlace


Portada de la Sección Departamental

Página administrada por Juan-Miguel Gracia: